ارسال پیام: @Vahid_Online
instagram.com/vahidonline
تلاش میکنم بدونم چه خبره و چی میگن. اینجا بعضی ازچیزهایی که میخواستم ببینم رو همونجوری که میخواستم بهم نشون داده بشه میگذارم.
استوار بر حمایتهای مردمی:
ماهانه
vhdo.nl/patreon
یکباره
vhdo.nl/paypal
instagram.com/vahidonline
تلاش میکنم بدونم چه خبره و چی میگن. اینجا بعضی ازچیزهایی که میخواستم ببینم رو همونجوری که میخواستم بهم نشون داده بشه میگذارم.
استوار بر حمایتهای مردمی:
ماهانه
vhdo.nl/patreon
یکباره
vhdo.nl/paypal
∑P∆t=0 🇮🇷🔪🇪🇸:
اسم #قمار رو که گذاشتید #پیشبینی، اسم #ربا رو هم وام بانکی، خب #آبجو و #شراب رو هم بذارید آبشنگولی و آزادش کنید دیگه.
PhillipOfAjam
#حکومت_اسلامی #بانکداری_اسلامی #مشروب
📡 @VahidOnline
∑P∆t=0 🇮🇷🔪🇪🇸:
اسم #قمار رو که گذاشتید #پیشبینی، اسم #ربا رو هم وام بانکی، خب #آبجو و #شراب رو هم بذارید آبشنگولی و آزادش کنید دیگه.
PhillipOfAjam
#حکومت_اسلامی #بانکداری_اسلامی #مشروب
📡 @VahidOnline
بیخوابی فشار آورده یا درست شنیدم؟ ۸۹٪ سود؟
#بانکداری_اسلامی یعنی از مشترهای خرد بدزدی به کلهگندهها بدی برای ژنهای خوبشون صرف کنند
twitter.com/Fuad45372496/status/937473184370130945
📡 @VahidOnline
#بانکداری_اسلامی یعنی از مشترهای خرد بدزدی به کلهگندهها بدی برای ژنهای خوبشون صرف کنند
twitter.com/Fuad45372496/status/937473184370130945
📡 @VahidOnline
RadioSardar: t.co/RodgJAHrQW
محمود صادقی:
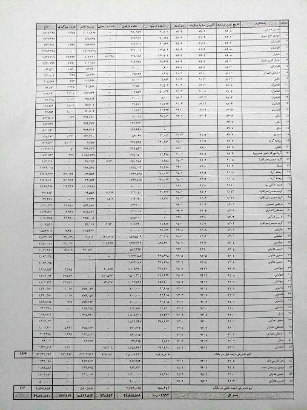
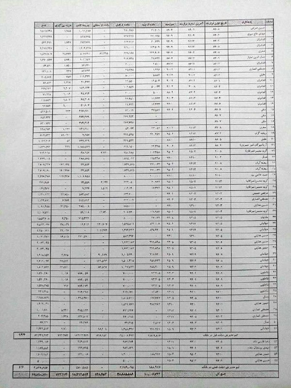
باتوجه به تخلف مسئولان #بانک_سرمایه طی سالهای ۸۵ تا ۹۵ در اعطای تسهیلات کلان بدون وثیقه و استنکاف #بدهکاران از پرداخت بدهی و تعلل بانک در وصول مطالبات و مماشات و اطاله دادرسی در مراجع قضایی، برای #شفاف_سازی و اطلاع عموم، مشخصات ۲۰ بدهکار عمده بانک سرمایه منتشر میشود.
twitter.com/mah_sadeghi/status/936930546017619968
Alooche:
به به. شما لیستو ببین فقط. یعنی نظام بانکی از این تمیزتر تو دنیا نمونه نداره اصلا. احسنت.
twitter.com/alooche/status/936934043232407552
Hosein Vi:
توضیح برای گیج و گولهایی مثل من:
اعداد درج شده در ستونها به «میلیون ریال» میباشد!
twitter.com/HoseinVahdani/status/936934296153133058
مهدی امیرپور:
628 میلیارد تومانی که #حسین_هدایتی از #بانک_سرمایه وام گرفته و برنگردانده، معادل بودجه سی سال باشگاه پرسپولیس است. الان به راحتی میتوان فهمید این حجم بذل و بخشش و پولِ تو جیبی و زیرمیزی برای بازیکنان #پرسپولیس، از کجا تامین میشود؟
twitter.com/AmirpoorMehdi/status/936941867027091456
پژمان راهبر:
بنابر فهرست منتشره بدهکاران بانک سرمایه از سوی محود صادقی نماینده مجلس ، بدهی دوست فوتبالدوستمان در مجموع 10.370.021(هزار و سی هفت میلیارد) تومان است .
twitter.com/PejmanRahbar/status/936943299079884800
گلعذاری ز خراسان:
خب اینم از عابر بانک پرسپولیسی ها
سردار سپاه حاج حسین هدایتی از بانک سرمایه از یازده سال پیش تا امروز ۱۰۲۹۰۰۰۰۰۰۰۰۰ تومان وام گرفتن و پس ندادن
اگه نتونستی صفر ها رو بخونی خودم میگم
هزار و بیست و نه میلیارد تومان ناقابل
twitter.com/MasoudGolozar/status/936975820668723200
یازدهِ یازده:
نام های آشنایی مثل محسن صرافان(برنج محسن)، مرتضی سلطانی(زر ماکارون) و اقدامیان(ویستا بست) تو لیست به چشم میخوره. ماشالله به کارآفرینان نمونه کشور! #محمود_صادقی #بانک_سرمایه
twitter.com/zaghnabout/status/936943424854519817
p0oyaa:
این حسین هدایتیم هرجا دستش رسیده یه چیزی دزدیده. ولی خب چون واسه زلزله زده ها کانکس میخره و رفیق سلبریتیاس و پول طارمی رو میده عیبی نداره.
twitter.com/p0oyaa/status/936934889659740160
Amirparviz Pouyan:
حسین هدایتی( آقای استیل آذین) حول و حوش 1000 میلیارد از بانک سرمایه ( بانکی با سرمایه فرهنگیان؛موجوداتی با حقوق 2 میلیون) بالا کشیده. دستگاه امام حسین نیست لامصب کت جادوییه.
twitter.com/amirparvizp/status/936934930642124800
بوتیمار:
فقط "حاج" #حسین_هدایتی از ٨۵ تا ٩۵، در دولتهای اول و دوم احمدی نژاد و دولت اول حسن روحانی، به تنهایی ١٠٢٩ میلیارد تومان از #بانک_سرمایه وام گرفته و پس نداده. تکرار میکنم ١٠٢٩ میلیارد تومان!
twitter.com/bitternism/status/936958719946100738
Mostafa Heidari:
نکته جالب بدهی [...] میلیاردی #حسین_هدایتی به بانک_سرمایه اینه که هدایتی سال قبل بخاطر بدهی 500میلیاردی به بانک پارسیان بازداشت شد و نه بخاطر بدهی بانک سرمایه!
twitter.com/Mostafaheidari_/status/936968407873880064
Masira:
#حسینهدایتی نشون داد که فرا جناحی از بانکها وام میگیره و پس نمیده
twitter.com/serkangabin/status/936932412713467904
سردارسحرشون:
حالا ما سه تومن وام گرفتیم خشکتمونو کشیدن سرمون 😐 در هفته دیرتر شد بازپرداختش
twitter.com/sahariiam/status/936934288179769344
Parham:
شما برو بانک بگو ۱۰ تومن وام میخوام اگر بتونی بعد از چند ماه بگیری تا دو برابر پس بدی، کافیه یک قسط را ندی سریعا حساب ضامن را برای چند صد هزار تومن مسدود میکنند، بعد یک عده به سیستم بانکی چند ده هزار میلیارد تومن بدهکارند
twitter.com/21aban/status/936935967704969218
کرگدن دل نازک:
من چهارتا قسط وام دانشجوییم رو ندادم,صد تا پیام اومد آخرشم اسمم رفت تو لیست بدهکاران بانک مرکزی,با جریمه هم گرفتن همشو,اونوقت اینا میلیاردی بردن ندادن و نمیدن بازم میگیرن
twitter.com/r_e_z_a_a/status/936935463650234371
Behrouz Khezry:
مردم برای گرفتن وام چند میلیونی با بیش از ۲۰درصد سود باید چندین ضامن ببرن. اینا میلیاردی گرفتن بدون هیچ ضمانتی و پس هم نمیدن. #بانکداری_اسلامی موج میزند.
twitter.com/bkhezry/status/936938887364120576
Majid Avaj:
و افرادی هستند که برای یک میلیون تومان وام التماس میکنند و افرادی هستند که به دلیل دو قسط معوقه توسط بانکها به اجرای چک و ضامن میرسند. #عدالت
twitter.com/MajidAvaj/status/936970691756388352
📡 @VahidOnline
محمود صادقی:
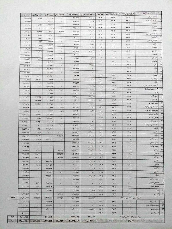
باتوجه به تخلف مسئولان #بانک_سرمایه طی سالهای ۸۵ تا ۹۵ در اعطای تسهیلات کلان بدون وثیقه و استنکاف #بدهکاران از پرداخت بدهی و تعلل بانک در وصول مطالبات و مماشات و اطاله دادرسی در مراجع قضایی، برای #شفاف_سازی و اطلاع عموم، مشخصات ۲۰ بدهکار عمده بانک سرمایه منتشر میشود.
twitter.com/mah_sadeghi/status/936930546017619968
Alooche:
به به. شما لیستو ببین فقط. یعنی نظام بانکی از این تمیزتر تو دنیا نمونه نداره اصلا. احسنت.
twitter.com/alooche/status/936934043232407552
Hosein Vi:
توضیح برای گیج و گولهایی مثل من:
اعداد درج شده در ستونها به «میلیون ریال» میباشد!
twitter.com/HoseinVahdani/status/936934296153133058
مهدی امیرپور:
628 میلیارد تومانی که #حسین_هدایتی از #بانک_سرمایه وام گرفته و برنگردانده، معادل بودجه سی سال باشگاه پرسپولیس است. الان به راحتی میتوان فهمید این حجم بذل و بخشش و پولِ تو جیبی و زیرمیزی برای بازیکنان #پرسپولیس، از کجا تامین میشود؟
twitter.com/AmirpoorMehdi/status/936941867027091456
پژمان راهبر:
بنابر فهرست منتشره بدهکاران بانک سرمایه از سوی محود صادقی نماینده مجلس ، بدهی دوست فوتبالدوستمان در مجموع 10.370.021(هزار و سی هفت میلیارد) تومان است .
twitter.com/PejmanRahbar/status/936943299079884800
گلعذاری ز خراسان:
خب اینم از عابر بانک پرسپولیسی ها
سردار سپاه حاج حسین هدایتی از بانک سرمایه از یازده سال پیش تا امروز ۱۰۲۹۰۰۰۰۰۰۰۰۰ تومان وام گرفتن و پس ندادن
اگه نتونستی صفر ها رو بخونی خودم میگم
هزار و بیست و نه میلیارد تومان ناقابل
twitter.com/MasoudGolozar/status/936975820668723200
یازدهِ یازده:
نام های آشنایی مثل محسن صرافان(برنج محسن)، مرتضی سلطانی(زر ماکارون) و اقدامیان(ویستا بست) تو لیست به چشم میخوره. ماشالله به کارآفرینان نمونه کشور! #محمود_صادقی #بانک_سرمایه
twitter.com/zaghnabout/status/936943424854519817
p0oyaa:
این حسین هدایتیم هرجا دستش رسیده یه چیزی دزدیده. ولی خب چون واسه زلزله زده ها کانکس میخره و رفیق سلبریتیاس و پول طارمی رو میده عیبی نداره.
twitter.com/p0oyaa/status/936934889659740160
Amirparviz Pouyan:
حسین هدایتی( آقای استیل آذین) حول و حوش 1000 میلیارد از بانک سرمایه ( بانکی با سرمایه فرهنگیان؛موجوداتی با حقوق 2 میلیون) بالا کشیده. دستگاه امام حسین نیست لامصب کت جادوییه.
twitter.com/amirparvizp/status/936934930642124800
بوتیمار:
فقط "حاج" #حسین_هدایتی از ٨۵ تا ٩۵، در دولتهای اول و دوم احمدی نژاد و دولت اول حسن روحانی، به تنهایی ١٠٢٩ میلیارد تومان از #بانک_سرمایه وام گرفته و پس نداده. تکرار میکنم ١٠٢٩ میلیارد تومان!
twitter.com/bitternism/status/936958719946100738
Mostafa Heidari:
نکته جالب بدهی [...] میلیاردی #حسین_هدایتی به بانک_سرمایه اینه که هدایتی سال قبل بخاطر بدهی 500میلیاردی به بانک پارسیان بازداشت شد و نه بخاطر بدهی بانک سرمایه!
twitter.com/Mostafaheidari_/status/936968407873880064
Masira:
#حسینهدایتی نشون داد که فرا جناحی از بانکها وام میگیره و پس نمیده
twitter.com/serkangabin/status/936932412713467904
سردارسحرشون:
حالا ما سه تومن وام گرفتیم خشکتمونو کشیدن سرمون 😐 در هفته دیرتر شد بازپرداختش
twitter.com/sahariiam/status/936934288179769344
Parham:
شما برو بانک بگو ۱۰ تومن وام میخوام اگر بتونی بعد از چند ماه بگیری تا دو برابر پس بدی، کافیه یک قسط را ندی سریعا حساب ضامن را برای چند صد هزار تومن مسدود میکنند، بعد یک عده به سیستم بانکی چند ده هزار میلیارد تومن بدهکارند
twitter.com/21aban/status/936935967704969218
کرگدن دل نازک:
من چهارتا قسط وام دانشجوییم رو ندادم,صد تا پیام اومد آخرشم اسمم رفت تو لیست بدهکاران بانک مرکزی,با جریمه هم گرفتن همشو,اونوقت اینا میلیاردی بردن ندادن و نمیدن بازم میگیرن
twitter.com/r_e_z_a_a/status/936935463650234371
Behrouz Khezry:
مردم برای گرفتن وام چند میلیونی با بیش از ۲۰درصد سود باید چندین ضامن ببرن. اینا میلیاردی گرفتن بدون هیچ ضمانتی و پس هم نمیدن. #بانکداری_اسلامی موج میزند.
twitter.com/bkhezry/status/936938887364120576
Majid Avaj:
و افرادی هستند که برای یک میلیون تومان وام التماس میکنند و افرادی هستند که به دلیل دو قسط معوقه توسط بانکها به اجرای چک و ضامن میرسند. #عدالت
twitter.com/MajidAvaj/status/936970691756388352
📡 @VahidOnline
قیام علیه «ربا»
آیتالله #نوری_همدانی با #ربا دانستن #جریمه دیرکرد بانک ها مردم را به عدم پرداخت آن فراخواند
doctorsalaam: t.co/cu8qe4i5Tt
#اسلام #بانک #بانکداری #بانکداری_اسلامی
SharghDaily: t.co/PM86mDS92Z
روزنامه ایران:
#رئیسی در #بیرجند: #آستان_قدس رضوی #بانک قرضالحسنه بدون #ربا تاسیس میکند - فارس
twitter.com/IranNewspaper/status/902164985438228481
کولر:
مگر در مملکت امام زمان بانک با ربا هم داریم؟؟
twitter.com/kooler1172/status/902163499027189760
Reza Mazaheri:
ایشون مالیات آستان قدس رو بدن٬
تاسیس بانک قرض الحسنه بدون ربا پیشکش !!!!
twitter.com/upds83/status/902165702668410880
شیمیست:
رییسی گفته میخواد #بانک_بدون_ربا آستان قدس تاسیس کنه.
خدا رحم کنه...اگه پولاروبکشن بالاهرکسیم اعتراض کنه به جرم محاربه بامعصومین اعدامش میکنن
twitter.com/le_chimiste/status/902176430271946752
#بانکداری #بانکداری_اسلامی
📡 @VahidOnline
روزنامه ایران:
#رئیسی در #بیرجند: #آستان_قدس رضوی #بانک قرضالحسنه بدون #ربا تاسیس میکند - فارس
twitter.com/IranNewspaper/status/902164985438228481
کولر:
مگر در مملکت امام زمان بانک با ربا هم داریم؟؟
twitter.com/kooler1172/status/902163499027189760
Reza Mazaheri:
ایشون مالیات آستان قدس رو بدن٬
تاسیس بانک قرض الحسنه بدون ربا پیشکش !!!!
twitter.com/upds83/status/902165702668410880
شیمیست:
رییسی گفته میخواد #بانک_بدون_ربا آستان قدس تاسیس کنه.
خدا رحم کنه...اگه پولاروبکشن بالاهرکسیم اعتراض کنه به جرم محاربه بامعصومین اعدامش میکنن
twitter.com/le_chimiste/status/902176430271946752
#بانکداری #بانکداری_اسلامی
📡 @VahidOnline
twitter.com/jalalx/status/829640471932710913
#بانک #نوری_همدانی #بانکداری #سود #بانکداری_اسلامی #ربا
📡 @VahidOnline
qomnews: t.co/WWycCEU0ID
آیتالله #جوادی_آملی: #مشروب_فروشی هاو #سینما ها تغییرکردند اما #بانک ها همانطور ماندند
@VahidOnline
فاذنوا بحرب من الله: #ربا #رباخواری #جنگ_با_خدا
#بانکداری #بانکداری_اسلامی
آیتالله #جوادی_آملی: #مشروب_فروشی هاو #سینما ها تغییرکردند اما #بانک ها همانطور ماندند
@VahidOnline
فاذنوا بحرب من الله: #ربا #رباخواری #جنگ_با_خدا
#بانکداری #بانکداری_اسلامی
Eranico_com: t.co/tUC2DZz4lc
💬
amin:
"صدور کارتهای اعتباری یکجور مقروض کردن مردم به سیستم بانکی و اشاعهی فرهنگ مصرفه. برای بازار راکد فعلی شاید خوب باشه البته!"
twitter.com/amin/status/780136916721274880
💬
اَمــرونــــا:
"کارت اعتباری اومد ایران !! فردا آیفون میخرم پس دادنش رو هم خدا کریمه"
twitter.com/amronaa/status/780082310561538048
💬
رُسوای زمانه:
با سود بازپرداخت ۱۸% البته! به این میگن نزول خوری اسلامی :/ #کارت_اعتباری
twitter.com/FarhadHNe/status/780134045661351936
💬
Shahed:
"یا خدا. هجده درصد سود کارت اعتباری؟ دزدبازاره مملکت"
twitter.com/ShahedMUC/status/780135096175235072
💬
کونگ فوی پانداکار:
"از بانک وام بگیری سودش 18 درصده،کارت اعتباری هم سودش 18 درصده. حق نقد کردن هم نداری، کالا ایرانی هم باید بخری.کلاهبرداری از این بزرگتر نمیشه"
twitter.com/bateleh/status/780093218272735232
💬
Ràmin:TZ:
"امیدوارم این قضیهی کارتهای اعتباری که امروز رونمایی شده ازش به طریق درستی اجرا بشه. و اگر اینطور بشه بازار راه میوفته و از رکود خارج میشه."
twitter.com/RaminTZ/status/780127845804871681
💬
ام ای اس:
"مراجعه کردندبرای کارت اعتباری به بانک گفته به ازای هر۵میلیون یک ضامن میخاد شغل ازاد هم نمیتونه ضامن بشه ۵۰میلیون ده ضامن
#بانکداری #مرابحه"
twitter.com/mas_ser43/status/780139762443284480
💬
MaryamTd:
"اسم این کارت اعتباری یجوریه انگار از تو رساله برش داشتن آدم بعد از استفاده فکر میکنه باید غسل کنه #مرابحه"
twitter.com/maryamtd1/status/780134974116794373
💬
سریر:
"مرابحه چرا. اسم فارسی نبود؟"
twitter.com/sariir3000/status/780138411743117312
💬
bita:
سعی کردن اسلامی ترین اسم رو پیدا کنند.
آخه این چه اسمیه؟!؟ :))
مرابحه عبارت است از محاسبه ٔ ربح و حل مسائل مربوط به آن ...:)))))
twitter.com/BitaMahshidifar/status/780137251837730816
📡 @VahidOnline
بیدلیل نبوده:
«۱. بیع مرابحه به معاملهای اطلاق میشود که فروشنده با اعلام بهای کالای خریداری شده، آن را گرانتر از قیمت خرید بفروشد. و این معامله میتواند به صورت نقد یا نسیه (اقساطی) صورت گیرد.»
یا
«۲. فروش اقساطی (نسیه)، معاملهای است که در آن، کالا به مشتری تحویل داده شده، ولی بهای آن بعداً در قالب یک یا چند قسط پرداخت میشود و ممکن است به این لحاظ کمّی گرانتر از فروش نقدی باشد که این امر جایز است.»
گویا قصدشون از انتخاب اسم تأکید روی این بود:❗️«در هر حال هیچ یک از این دو نوع معامله #ربا نبوده و اگر طبق شرایطش انجام شود، صحیح است.»
vhdo.nl/2cUlFan
و اون سود ۱۸٪ رو هم گویا فقط کسانی باید بدن که سر موعد، بدیهشون رو به #بانک نپردازند و بخوان مبلغی که از اعتبار کارت خرج کردند رو در اقساط طولانیمدت پس بدن: isna.ir/news/95070401801
#کارت_اعتباری #مرابحه
💬
amin:
"صدور کارتهای اعتباری یکجور مقروض کردن مردم به سیستم بانکی و اشاعهی فرهنگ مصرفه. برای بازار راکد فعلی شاید خوب باشه البته!"
twitter.com/amin/status/780136916721274880
💬
اَمــرونــــا:
"کارت اعتباری اومد ایران !! فردا آیفون میخرم پس دادنش رو هم خدا کریمه"
twitter.com/amronaa/status/780082310561538048
💬
رُسوای زمانه:
با سود بازپرداخت ۱۸% البته! به این میگن نزول خوری اسلامی :/ #کارت_اعتباری
twitter.com/FarhadHNe/status/780134045661351936
💬
Shahed:
"یا خدا. هجده درصد سود کارت اعتباری؟ دزدبازاره مملکت"
twitter.com/ShahedMUC/status/780135096175235072
💬
کونگ فوی پانداکار:
"از بانک وام بگیری سودش 18 درصده،کارت اعتباری هم سودش 18 درصده. حق نقد کردن هم نداری، کالا ایرانی هم باید بخری.کلاهبرداری از این بزرگتر نمیشه"
twitter.com/bateleh/status/780093218272735232
💬
Ràmin:TZ:
"امیدوارم این قضیهی کارتهای اعتباری که امروز رونمایی شده ازش به طریق درستی اجرا بشه. و اگر اینطور بشه بازار راه میوفته و از رکود خارج میشه."
twitter.com/RaminTZ/status/780127845804871681
💬
ام ای اس:
"مراجعه کردندبرای کارت اعتباری به بانک گفته به ازای هر۵میلیون یک ضامن میخاد شغل ازاد هم نمیتونه ضامن بشه ۵۰میلیون ده ضامن
#بانکداری #مرابحه"
twitter.com/mas_ser43/status/780139762443284480
💬
MaryamTd:
"اسم این کارت اعتباری یجوریه انگار از تو رساله برش داشتن آدم بعد از استفاده فکر میکنه باید غسل کنه #مرابحه"
twitter.com/maryamtd1/status/780134974116794373
💬
سریر:
"مرابحه چرا. اسم فارسی نبود؟"
twitter.com/sariir3000/status/780138411743117312
💬
bita:
سعی کردن اسلامی ترین اسم رو پیدا کنند.
آخه این چه اسمیه؟!؟ :))
مرابحه عبارت است از محاسبه ٔ ربح و حل مسائل مربوط به آن ...:)))))
twitter.com/BitaMahshidifar/status/780137251837730816
📡 @VahidOnline
بیدلیل نبوده:
«۱. بیع مرابحه به معاملهای اطلاق میشود که فروشنده با اعلام بهای کالای خریداری شده، آن را گرانتر از قیمت خرید بفروشد. و این معامله میتواند به صورت نقد یا نسیه (اقساطی) صورت گیرد.»
یا
«۲. فروش اقساطی (نسیه)، معاملهای است که در آن، کالا به مشتری تحویل داده شده، ولی بهای آن بعداً در قالب یک یا چند قسط پرداخت میشود و ممکن است به این لحاظ کمّی گرانتر از فروش نقدی باشد که این امر جایز است.»
گویا قصدشون از انتخاب اسم تأکید روی این بود:❗️«در هر حال هیچ یک از این دو نوع معامله #ربا نبوده و اگر طبق شرایطش انجام شود، صحیح است.»
vhdo.nl/2cUlFan
و اون سود ۱۸٪ رو هم گویا فقط کسانی باید بدن که سر موعد، بدیهشون رو به #بانک نپردازند و بخوان مبلغی که از اعتبار کارت خرج کردند رو در اقساط طولانیمدت پس بدن: isna.ir/news/95070401801
#کارت_اعتباری #مرابحه
bbcpersian: t.co/n6rEMbnoW8
برای اولین بار در #ایران: توزیع #کارت_اعتباری، #امیرپایور گزارش میدهد
📡 @VahidOnline
#مرابحه #بانک #بانکداری
برای اولین بار در #ایران: توزیع #کارت_اعتباری، #امیرپایور گزارش میدهد
📡 @VahidOnline
#مرابحه #بانک #بانکداری
مثل #ویزاکارت و #مسترکارت خرج میشه، پرداخت بعدا
مرابحه برنزی ۱۰ میلیون تومان اعتبار
نقرهای ۳۰ میلیون
طلایی ۵۰
@VahidOnline
#بانک #بانکداری
قادر به ارائه سرویس نمیباشد.
📡 @VahidOnline
#تغییرساعت #ساعت_تابستانی #بانکداری #بانک #شاپرک
💬
atakhalighi:
ساعت یک ساعت به عقب برگشت و بانکداری الکترونیکی مملکت ترکید. یعنی این موضوع قابل پیشبینی و مدیریت نبوده یا بیکفایتی بیداد میکنه؟
💬
"کلی اختلال پیش اومده. برای مثال برو به سایت بانک ملت. کلا از دسترس خارجش کردن"
💬
mkargar:
"از دیروز یکبند اعلام کردن که ساعت دوازده شب، به مدّت یک ساعت شتاب و بقیهی شبکهها رو قطع میکنن."
💬
theReticent:
هر سال همین کار رو میکنن. واقعا این روش مناسب سال دو هزار و شونزده نیست"
twitter.com/atakhalighi/status/778318038173089794
📡 @VahidOnline
#تغییرساعت #ساعت_تابستانی #بانک #بانکداری #شتاب
atakhalighi:
ساعت یک ساعت به عقب برگشت و بانکداری الکترونیکی مملکت ترکید. یعنی این موضوع قابل پیشبینی و مدیریت نبوده یا بیکفایتی بیداد میکنه؟
💬
"کلی اختلال پیش اومده. برای مثال برو به سایت بانک ملت. کلا از دسترس خارجش کردن"
💬
mkargar:
"از دیروز یکبند اعلام کردن که ساعت دوازده شب، به مدّت یک ساعت شتاب و بقیهی شبکهها رو قطع میکنن."
💬
theReticent:
هر سال همین کار رو میکنن. واقعا این روش مناسب سال دو هزار و شونزده نیست"
twitter.com/atakhalighi/status/778318038173089794
📡 @VahidOnline
#تغییرساعت #ساعت_تابستانی #بانک #بانکداری #شتاب
💬
زکیپدیا:
"روز بانکداری بدون ربا را به رییس بانک مرکزی ژاپن تبریک عرض مینماییم"
twitter.com/zekipedia/status/770904568658034688
💬
"همه بانکهای ایرانی هم اهل ربا نیستن بانک بدون ربا هم داریم مثل بانک خون یا همین پاوربانک"
twitter.com/zekipedia/status/479144125913370624
📡 @VahidOnline
#بانک #بانکداری_اسلامی #بانکداری_بدون_ربا #وام #سود #بهره #سودبانکی #ربا #نزول #اقتصاد
زکیپدیا:
"روز بانکداری بدون ربا را به رییس بانک مرکزی ژاپن تبریک عرض مینماییم"
twitter.com/zekipedia/status/770904568658034688
💬
"همه بانکهای ایرانی هم اهل ربا نیستن بانک بدون ربا هم داریم مثل بانک خون یا همین پاوربانک"
twitter.com/zekipedia/status/479144125913370624
📡 @VahidOnline
#بانک #بانکداری_اسلامی #بانکداری_بدون_ربا #وام #سود #بهره #سودبانکی #ربا #نزول #اقتصاد