RadioSardar: t.co/RodgJAHrQW
محمود صادقی:
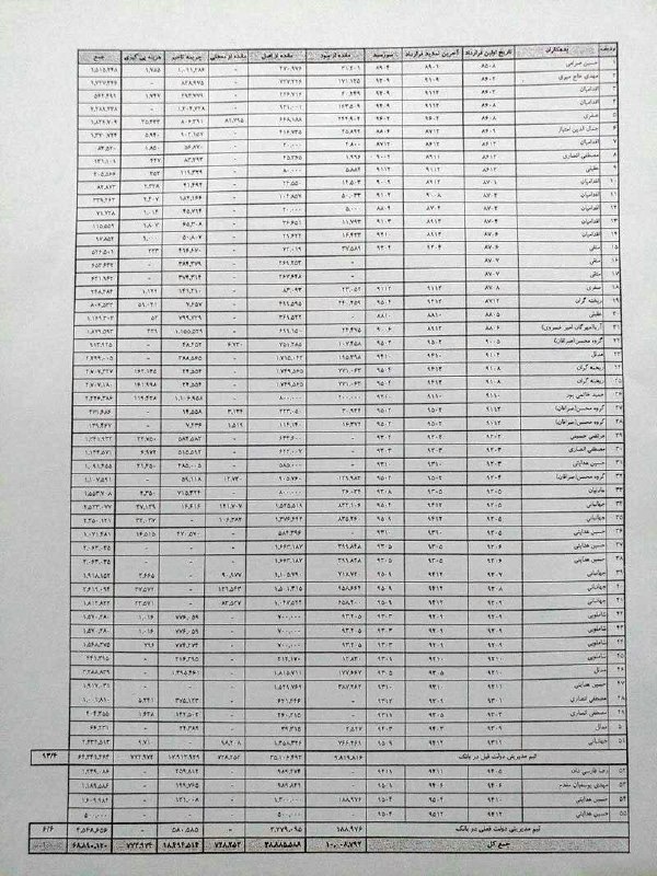
باتوجه به تخلف مسئولان #بانک_سرمایه طی سالهای ۸۵ تا ۹۵ در اعطای تسهیلات کلان بدون وثیقه و استنکاف #بدهکاران از پرداخت بدهی و تعلل بانک در وصول مطالبات و مماشات و اطاله دادرسی در مراجع قضایی، برای #شفاف_سازی و اطلاع عموم، مشخصات ۲۰ بدهکار عمده بانک سرمایه منتشر میشود.
twitter.com/mah_sadeghi/status/936930546017619968
Alooche:
به به. شما لیستو ببین فقط. یعنی نظام بانکی از این تمیزتر تو دنیا نمونه نداره اصلا. احسنت.
twitter.com/alooche/status/936934043232407552
Hosein Vi:
توضیح برای گیج و گولهایی مثل من:
اعداد درج شده در ستونها به «میلیون ریال» میباشد!
twitter.com/HoseinVahdani/status/936934296153133058
مهدی امیرپور:
628 میلیارد تومانی که #حسین_هدایتی از #بانک_سرمایه وام گرفته و برنگردانده، معادل بودجه سی سال باشگاه پرسپولیس است. الان به راحتی میتوان فهمید این حجم بذل و بخشش و پولِ تو جیبی و زیرمیزی برای بازیکنان #پرسپولیس، از کجا تامین میشود؟
twitter.com/AmirpoorMehdi/status/936941867027091456
پژمان راهبر:
بنابر فهرست منتشره بدهکاران بانک سرمایه از سوی محود صادقی نماینده مجلس ، بدهی دوست فوتبالدوستمان در مجموع 10.370.021(هزار و سی هفت میلیارد) تومان است .
twitter.com/PejmanRahbar/status/936943299079884800
گلعذاری ز خراسان:
خب اینم از عابر بانک پرسپولیسی ها
سردار سپاه حاج حسین هدایتی از بانک سرمایه از یازده سال پیش تا امروز ۱۰۲۹۰۰۰۰۰۰۰۰۰ تومان وام گرفتن و پس ندادن
اگه نتونستی صفر ها رو بخونی خودم میگم
هزار و بیست و نه میلیارد تومان ناقابل
twitter.com/MasoudGolozar/status/936975820668723200
یازدهِ یازده:
نام های آشنایی مثل محسن صرافان(برنج محسن)، مرتضی سلطانی(زر ماکارون) و اقدامیان(ویستا بست) تو لیست به چشم میخوره. ماشالله به کارآفرینان نمونه کشور! #محمود_صادقی #بانک_سرمایه
twitter.com/zaghnabout/status/936943424854519817
p0oyaa:
این حسین هدایتیم هرجا دستش رسیده یه چیزی دزدیده. ولی خب چون واسه زلزله زده ها کانکس میخره و رفیق سلبریتیاس و پول طارمی رو میده عیبی نداره.
twitter.com/p0oyaa/status/936934889659740160
Amirparviz Pouyan:
حسین هدایتی( آقای استیل آذین) حول و حوش 1000 میلیارد از بانک سرمایه ( بانکی با سرمایه فرهنگیان؛موجوداتی با حقوق 2 میلیون) بالا کشیده. دستگاه امام حسین نیست لامصب کت جادوییه.
twitter.com/amirparvizp/status/936934930642124800
بوتیمار:
فقط "حاج" #حسین_هدایتی از ٨۵ تا ٩۵، در دولتهای اول و دوم احمدی نژاد و دولت اول حسن روحانی، به تنهایی ١٠٢٩ میلیارد تومان از #بانک_سرمایه وام گرفته و پس نداده. تکرار میکنم ١٠٢٩ میلیارد تومان!
twitter.com/bitternism/status/936958719946100738
Mostafa Heidari:
نکته جالب بدهی [...] میلیاردی #حسین_هدایتی به بانک_سرمایه اینه که هدایتی سال قبل بخاطر بدهی 500میلیاردی به بانک پارسیان بازداشت شد و نه بخاطر بدهی بانک سرمایه!
twitter.com/Mostafaheidari_/status/936968407873880064
Masira:
#حسینهدایتی نشون داد که فرا جناحی از بانکها وام میگیره و پس نمیده
twitter.com/serkangabin/status/936932412713467904
سردارسحرشون:
حالا ما سه تومن وام گرفتیم خشکتمونو کشیدن سرمون 😐 در هفته دیرتر شد بازپرداختش
twitter.com/sahariiam/status/936934288179769344
Parham:
شما برو بانک بگو ۱۰ تومن وام میخوام اگر بتونی بعد از چند ماه بگیری تا دو برابر پس بدی، کافیه یک قسط را ندی سریعا حساب ضامن را برای چند صد هزار تومن مسدود میکنند، بعد یک عده به سیستم بانکی چند ده هزار میلیارد تومن بدهکارند
twitter.com/21aban/status/936935967704969218
کرگدن دل نازک:
من چهارتا قسط وام دانشجوییم رو ندادم,صد تا پیام اومد آخرشم اسمم رفت تو لیست بدهکاران بانک مرکزی,با جریمه هم گرفتن همشو,اونوقت اینا میلیاردی بردن ندادن و نمیدن بازم میگیرن
twitter.com/r_e_z_a_a/status/936935463650234371
Behrouz Khezry:
مردم برای گرفتن وام چند میلیونی با بیش از ۲۰درصد سود باید چندین ضامن ببرن. اینا میلیاردی گرفتن بدون هیچ ضمانتی و پس هم نمیدن. #بانکداری_اسلامی موج میزند.
twitter.com/bkhezry/status/936938887364120576
Majid Avaj:
و افرادی هستند که برای یک میلیون تومان وام التماس میکنند و افرادی هستند که به دلیل دو قسط معوقه توسط بانکها به اجرای چک و ضامن میرسند. #عدالت
twitter.com/MajidAvaj/status/936970691756388352
📡 @VahidOnline
محمود صادقی:
باتوجه به تخلف مسئولان #بانک_سرمایه طی سالهای ۸۵ تا ۹۵ در اعطای تسهیلات کلان بدون وثیقه و استنکاف #بدهکاران از پرداخت بدهی و تعلل بانک در وصول مطالبات و مماشات و اطاله دادرسی در مراجع قضایی، برای #شفاف_سازی و اطلاع عموم، مشخصات ۲۰ بدهکار عمده بانک سرمایه منتشر میشود.
twitter.com/mah_sadeghi/status/936930546017619968
Alooche:
به به. شما لیستو ببین فقط. یعنی نظام بانکی از این تمیزتر تو دنیا نمونه نداره اصلا. احسنت.
twitter.com/alooche/status/936934043232407552
Hosein Vi:
توضیح برای گیج و گولهایی مثل من:
اعداد درج شده در ستونها به «میلیون ریال» میباشد!
twitter.com/HoseinVahdani/status/936934296153133058
مهدی امیرپور:
628 میلیارد تومانی که #حسین_هدایتی از #بانک_سرمایه وام گرفته و برنگردانده، معادل بودجه سی سال باشگاه پرسپولیس است. الان به راحتی میتوان فهمید این حجم بذل و بخشش و پولِ تو جیبی و زیرمیزی برای بازیکنان #پرسپولیس، از کجا تامین میشود؟
twitter.com/AmirpoorMehdi/status/936941867027091456
پژمان راهبر:
بنابر فهرست منتشره بدهکاران بانک سرمایه از سوی محود صادقی نماینده مجلس ، بدهی دوست فوتبالدوستمان در مجموع 10.370.021(هزار و سی هفت میلیارد) تومان است .
twitter.com/PejmanRahbar/status/936943299079884800
گلعذاری ز خراسان:
خب اینم از عابر بانک پرسپولیسی ها
سردار سپاه حاج حسین هدایتی از بانک سرمایه از یازده سال پیش تا امروز ۱۰۲۹۰۰۰۰۰۰۰۰۰ تومان وام گرفتن و پس ندادن
اگه نتونستی صفر ها رو بخونی خودم میگم
هزار و بیست و نه میلیارد تومان ناقابل
twitter.com/MasoudGolozar/status/936975820668723200
یازدهِ یازده:
نام های آشنایی مثل محسن صرافان(برنج محسن)، مرتضی سلطانی(زر ماکارون) و اقدامیان(ویستا بست) تو لیست به چشم میخوره. ماشالله به کارآفرینان نمونه کشور! #محمود_صادقی #بانک_سرمایه
twitter.com/zaghnabout/status/936943424854519817
p0oyaa:
این حسین هدایتیم هرجا دستش رسیده یه چیزی دزدیده. ولی خب چون واسه زلزله زده ها کانکس میخره و رفیق سلبریتیاس و پول طارمی رو میده عیبی نداره.
twitter.com/p0oyaa/status/936934889659740160
Amirparviz Pouyan:
حسین هدایتی( آقای استیل آذین) حول و حوش 1000 میلیارد از بانک سرمایه ( بانکی با سرمایه فرهنگیان؛موجوداتی با حقوق 2 میلیون) بالا کشیده. دستگاه امام حسین نیست لامصب کت جادوییه.
twitter.com/amirparvizp/status/936934930642124800
بوتیمار:
فقط "حاج" #حسین_هدایتی از ٨۵ تا ٩۵، در دولتهای اول و دوم احمدی نژاد و دولت اول حسن روحانی، به تنهایی ١٠٢٩ میلیارد تومان از #بانک_سرمایه وام گرفته و پس نداده. تکرار میکنم ١٠٢٩ میلیارد تومان!
twitter.com/bitternism/status/936958719946100738
Mostafa Heidari:
نکته جالب بدهی [...] میلیاردی #حسین_هدایتی به بانک_سرمایه اینه که هدایتی سال قبل بخاطر بدهی 500میلیاردی به بانک پارسیان بازداشت شد و نه بخاطر بدهی بانک سرمایه!
twitter.com/Mostafaheidari_/status/936968407873880064
Masira:
#حسینهدایتی نشون داد که فرا جناحی از بانکها وام میگیره و پس نمیده
twitter.com/serkangabin/status/936932412713467904
سردارسحرشون:
حالا ما سه تومن وام گرفتیم خشکتمونو کشیدن سرمون 😐 در هفته دیرتر شد بازپرداختش
twitter.com/sahariiam/status/936934288179769344
Parham:
شما برو بانک بگو ۱۰ تومن وام میخوام اگر بتونی بعد از چند ماه بگیری تا دو برابر پس بدی، کافیه یک قسط را ندی سریعا حساب ضامن را برای چند صد هزار تومن مسدود میکنند، بعد یک عده به سیستم بانکی چند ده هزار میلیارد تومن بدهکارند
twitter.com/21aban/status/936935967704969218
کرگدن دل نازک:
من چهارتا قسط وام دانشجوییم رو ندادم,صد تا پیام اومد آخرشم اسمم رفت تو لیست بدهکاران بانک مرکزی,با جریمه هم گرفتن همشو,اونوقت اینا میلیاردی بردن ندادن و نمیدن بازم میگیرن
twitter.com/r_e_z_a_a/status/936935463650234371
Behrouz Khezry:
مردم برای گرفتن وام چند میلیونی با بیش از ۲۰درصد سود باید چندین ضامن ببرن. اینا میلیاردی گرفتن بدون هیچ ضمانتی و پس هم نمیدن. #بانکداری_اسلامی موج میزند.
twitter.com/bkhezry/status/936938887364120576
Majid Avaj:
و افرادی هستند که برای یک میلیون تومان وام التماس میکنند و افرادی هستند که به دلیل دو قسط معوقه توسط بانکها به اجرای چک و ضامن میرسند. #عدالت
twitter.com/MajidAvaj/status/936970691756388352
📡 @VahidOnline