ارسال پیام: @Vahid_Online
instagram.com/vahidonline
تلاش میکنم بدونم چه خبره و چی میگن. اینجا بعضی ازچیزهایی که میخواستم ببینم رو همونجوری که میخواستم بهم نشون داده بشه میگذارم.
استوار بر حمایتهای مردمی:
ماهانه
vhdo.nl/patreon
یکباره
vhdo.nl/paypal
instagram.com/vahidonline
تلاش میکنم بدونم چه خبره و چی میگن. اینجا بعضی ازچیزهایی که میخواستم ببینم رو همونجوری که میخواستم بهم نشون داده بشه میگذارم.
استوار بر حمایتهای مردمی:
ماهانه
vhdo.nl/patreon
یکباره
vhdo.nl/paypal
ایران وایر:
آغاز محاکمه حسین هدایتی، عابر بانک #فوتبال_ایران
«#حسین_هدایتی» صبح امروز (چهارشنبه) به #دادگاه_انقلاب رفت تا به پرونده #پولشویی ۵۸۶ میلیارد تومانیاش رسیدگی شود.
#اخبار_ایران
iranwire
Farnoosh Amirshahi:
پرونده #بانک_سرمایه تکان دهنده است. فقط در یک مورد٬ امروز در جلسه دادگاه #حسین_هدایتی٬ نماینده دادستان گفت او ۸ شرکت صوری تاسیس کرده٬ چند کارتن خواب را به عنوان مدیران این شرکتها معرفی کرده٬ و از این طریق ۵۸۶ میلیارد تومان از بانک سرمایه تسهیلات گرفته است.
farnoosh_a
yaghmafashkhami II:
نماینده دادستان به #حسین_هدایتی: شما دستور دادید که یک پول کلان ازکارخانه نبرد لوله اهواز برای جشن قهرمانی یک تیم ورزشی هزینه شود در حالی که #کارگران این کارخانه ۴ ماه بودحقوق نگرفته بودند/چه افراد ورزشی و چه غیر ورزشی بدانند که هر چه که پول از هدایتی گرفتهاند پول #مردم بوده
yaghma_fashkham
مجید غمخوار:
نماینده دادستان در جلسه محاکمه حسین هدایتی: چه افراد ورزشی و چه افراد غیر ورزشی بدانند که هر چه که پول از هدایتی گرفتهاند پول مردم بوده است و باید بیایند پس بدهند تا دادسرا به آن ورود نکند/میزان
ghamkhar_majid
Shayan Nobarani:
این چه مسخره بازیه؟ از صبح کل ایران نوشتن داداگاه حسین هدایتی شروع شد… صد تا خبرنگار با دوربین عکاسی و فیلمبرداری اونجان… تو همین خبر اسم طرف رو هشتگ کردن بعد چشمهای طرف رو ۵٪ محو کردند شناخته نشه!!! #سیرک
📷 shayan
خبرگزاری ایرنا:
نماینده دادستان: #حسین_هدایتی در روز برگزاری دربیها مثلا ۱۰۰ سکه در جیبش میگذاشت و اگر تیم الف. بر تیم ب. برنده میشد به آنها سکه هدیه میداد. پولی که مربوط به شرکت نورد لوله اهواز بوده.
هدایتی: روسای تمام بانکها حاضر بودند بدون وثیقه به من وام دهند، نیازی به تبانی نداشتم.
IRNA_1313
📡 @VahidOnline
نادر فتورهچی:
تعریف دقیق و کوتاه حسین هدایتی از«فساد سیستماتیک»:
«تمام مدیران بانکی با من رفیق هستند وحاضرند بدون وثیقه به من وام بدهند».
بله،مشکل دقیقا همینجاست؛کسانیکه با هم رفیق هستند و حاضرند بدون وثیقه به هم وام دهند،شدهاند «مدیر»وحاضر نیستند به مردم عادی که با آنها رفیق نیستند،وام دهند.
📷 Nfatourehchi 👇
آغاز محاکمه حسین هدایتی، عابر بانک #فوتبال_ایران
«#حسین_هدایتی» صبح امروز (چهارشنبه) به #دادگاه_انقلاب رفت تا به پرونده #پولشویی ۵۸۶ میلیارد تومانیاش رسیدگی شود.
#اخبار_ایران
iranwire
Farnoosh Amirshahi:
پرونده #بانک_سرمایه تکان دهنده است. فقط در یک مورد٬ امروز در جلسه دادگاه #حسین_هدایتی٬ نماینده دادستان گفت او ۸ شرکت صوری تاسیس کرده٬ چند کارتن خواب را به عنوان مدیران این شرکتها معرفی کرده٬ و از این طریق ۵۸۶ میلیارد تومان از بانک سرمایه تسهیلات گرفته است.
farnoosh_a
yaghmafashkhami II:
نماینده دادستان به #حسین_هدایتی: شما دستور دادید که یک پول کلان ازکارخانه نبرد لوله اهواز برای جشن قهرمانی یک تیم ورزشی هزینه شود در حالی که #کارگران این کارخانه ۴ ماه بودحقوق نگرفته بودند/چه افراد ورزشی و چه غیر ورزشی بدانند که هر چه که پول از هدایتی گرفتهاند پول #مردم بوده
yaghma_fashkham
مجید غمخوار:
نماینده دادستان در جلسه محاکمه حسین هدایتی: چه افراد ورزشی و چه افراد غیر ورزشی بدانند که هر چه که پول از هدایتی گرفتهاند پول مردم بوده است و باید بیایند پس بدهند تا دادسرا به آن ورود نکند/میزان
ghamkhar_majid
Shayan Nobarani:
این چه مسخره بازیه؟ از صبح کل ایران نوشتن داداگاه حسین هدایتی شروع شد… صد تا خبرنگار با دوربین عکاسی و فیلمبرداری اونجان… تو همین خبر اسم طرف رو هشتگ کردن بعد چشمهای طرف رو ۵٪ محو کردند شناخته نشه!!! #سیرک
📷 shayan
خبرگزاری ایرنا:
نماینده دادستان: #حسین_هدایتی در روز برگزاری دربیها مثلا ۱۰۰ سکه در جیبش میگذاشت و اگر تیم الف. بر تیم ب. برنده میشد به آنها سکه هدیه میداد. پولی که مربوط به شرکت نورد لوله اهواز بوده.
هدایتی: روسای تمام بانکها حاضر بودند بدون وثیقه به من وام دهند، نیازی به تبانی نداشتم.
IRNA_1313
📡 @VahidOnline
نادر فتورهچی:
تعریف دقیق و کوتاه حسین هدایتی از«فساد سیستماتیک»:
«تمام مدیران بانکی با من رفیق هستند وحاضرند بدون وثیقه به من وام بدهند».
بله،مشکل دقیقا همینجاست؛کسانیکه با هم رفیق هستند و حاضرند بدون وثیقه به هم وام دهند،شدهاند «مدیر»وحاضر نیستند به مردم عادی که با آنها رفیق نیستند،وام دهند.
📷 Nfatourehchi 👇
RadioSardar: t.co/iGIsPwEPMA
DavoT:
بابا حسین هدایتی هر سال هیئت به پا میکنه، کلی نذری میده، کجا همچی آدم معتقدی میتونه دزد باشه؟!
twitter.com/davwvod/status/937078029641187328
عضو جنبش عدم تنفر:
حاج حسین هدایتی الان صاحب هیئت عزاداری اباعبدالله و حامی تیم مردمی پرسپولیس است،
گیرم که دو سال پیش وامی هم گرفته و در بازپرداختش اندکی دچار مشکل شده،
ملاک حال فعلی افراد است!
twitter.com/sasiesasanina/status/937483465351749633
📡 @VahidOnline
DavoT:
بابا حسین هدایتی هر سال هیئت به پا میکنه، کلی نذری میده، کجا همچی آدم معتقدی میتونه دزد باشه؟!
twitter.com/davwvod/status/937078029641187328
عضو جنبش عدم تنفر:
حاج حسین هدایتی الان صاحب هیئت عزاداری اباعبدالله و حامی تیم مردمی پرسپولیس است،
گیرم که دو سال پیش وامی هم گرفته و در بازپرداختش اندکی دچار مشکل شده،
ملاک حال فعلی افراد است!
twitter.com/sasiesasanina/status/937483465351749633
📡 @VahidOnline
RadioSardar: t.co/PNiHumSiJY
saam:
#حسین_هدایتی کلا 5000 میلیارد تومن معوقه داره که با 200 میلیارد وثیقه ازاده اونوقت سالها پیش در مصاحبه گفته بود خداوند خواست روزی ما زیاد باشه ... وقاحت تا چه حد ... بیچاره فرهنگیها که حتی نمی تونن حرف بزنن ...
twitter.com/saamrrad/status/936942715610304514
کیخون:
یه حسین هدایتی بدهی بانکیش از جمع کل بودجه عمرانی استانهای کردستان و سیستان و بلوچستان (برای ساخت زیربنا و ایجاد اشتغال) بیشتره.
البته کولبرها قاچاقچی هستن و باید با تیر بزننشون که اقتصاد سالم بمونه!
twitter.com/Keykhoon/status/937016826927697922
#بدهکاران
📡 @VahidOnline 📷👇
saam:
#حسین_هدایتی کلا 5000 میلیارد تومن معوقه داره که با 200 میلیارد وثیقه ازاده اونوقت سالها پیش در مصاحبه گفته بود خداوند خواست روزی ما زیاد باشه ... وقاحت تا چه حد ... بیچاره فرهنگیها که حتی نمی تونن حرف بزنن ...
twitter.com/saamrrad/status/936942715610304514
کیخون:
یه حسین هدایتی بدهی بانکیش از جمع کل بودجه عمرانی استانهای کردستان و سیستان و بلوچستان (برای ساخت زیربنا و ایجاد اشتغال) بیشتره.
البته کولبرها قاچاقچی هستن و باید با تیر بزننشون که اقتصاد سالم بمونه!
twitter.com/Keykhoon/status/937016826927697922
#بدهکاران
📡 @VahidOnline 📷👇
twitter.com/Mostafaheidari_/status/936977245570240518
مهدى نادمى:
در لیست منتشر شده از بدهکاران بانک سرمایه، مهم تر از اسمها، بیشتر ذهنم درگیر تاریخ ها هستش، مخصوصا تاریخ های بعد از ۹۲.
غصه دار فرایندهای فاسد نهادینه شده ای هستم که با رفتن و آمدن دولت ها تغییری نمیکنند
twitter.com/MehdiNademi/status/936939638668840960
Mostafa Heidari:
معنی این لیست بدهکاران اینکه افراد بدهکار با رشوه و نفوذ در سیستم اداری و سندسازی و ایجاد شرکتهای کاغذی تونستن با توجه به بدهی مجدد وام های کلان بگیرن سوال اینه ایامدیران متخلف بازداشت وباخواست شدن چرااین مدیران به افراد بدهکار و بدحساب مجددوام پرداخت کردن بدون دریافت وثیقه مناسب
twitter.com/Mostafaheidari_/status/936957344659005440
Don Quixote:
افشای این اسناد، همراه با گزارشهای تحقیقی دقیق کار رسانههاست. در مملکتی با رسانههای شکستخورده، نمایندهی مجلس شخصا سند میذاره توی توییتر.
twitter.com/Don_Quixotee/status/936932131820929024
Gisoo Faghfouri:
هنوز خبرگزاری های رسمی ایران درباره این لیست خبری منتشر نکرده اند
هنوز درباره اسامی برخی #بدهکاران #بانک_سرمایه واکنش رسمی نشان داده نشده است
twitter.com/Gfaghfouri/status/936948433738399744
مهرداد نایب:
مایه تاسف هست که کارآفرینهای نمونه کشور توی لیست صادقی جزوه بدهکاران کلان بانک سرمایه هستند. محسن صرافان #برنج_محسن مرتضی سلطانی #زرماکارون اقدامیان #ویستابست
twitter.com/Mehrdxd/status/936949452782407682
Fereshteh Behrouzi:
شش هزارو 900 میلیارد تومان بدهی #بدهکاران به #بانک_سرمایه اعلام شده. کفایت سرمایه این بانک رو نگاه کنی میبینی با نصف این عدد تاسیس شده. اقتصادی که هیچ صادراتی نداره و بانک محوره، وقتی اینجور نظام ورشکسته بانکی داشته باشه، دیگه فاتحه اش خونده اس. ربطی به تحریم و پسا تحریم هم نداره
twitter.com/F_bnick/status/936955404864643072
حسین حمدیه:
کارمند است، بعد از ساعت کاری هم باید چند ساعت جایی دیگر کار کند تا بلکه از عهده هزینههای زندگی برآید. هزار درد دارد، از پا و کمر و دست تا قسط و سفته و اجاره خانه
برای او تفاوتی نمیکند که لیست بدهکاران صادقی از چه جناح سیاسی هستند. او فساد سیستماتیک را میفهمد! فساد یک ساختار را
twitter.com/hosseinhamdieh/status/936950267404267521
مُختٰار🌴:
الان چهار ماهه که تمام مراحل قانونی یک وام چند میلیون تومانی رو طی کردم گرفتن کلی مجوز و مدرک و پروانه کسب با هزینهای نزدیک به هشت میلیون! هنوز یه تف هم ننداختن کف دستم. لعنت به این همه تبعیض و فساد و اختلاف که باید ببینیم و دندان خشم به قلب ورم کرده فرو کنیم.
twitter.com/mokhtaro13/status/936953193824772096
Mehdi Mansouri:
شنیدید میگن تورم عید اغنیاس؟ سال ٨٧طرف وام گرفته به دلار میشده چهارصدمیلیون دلار پس نداده الان با دیرکرد و اصل و فرعش شده صد میلیون دلار بهمین راحتی:))
twitter.com/MehdiMa58345473/status/936968916441665536
Ehsan Mehrabi:
محمود صادقی به وعدش عمل کرد.الان نوبت احمد توکلیه که به وعدش برای انتشار فهرست بدهکاران موسسه اعتباری تامن الحجج که به گفته او از فرزندان علما و شخصیتهای سیاسی و قضات باسابقه هستند عمل کنه
twitter.com/EhsanMehrabi7/status/936936709157277696
Mostafa pakdel:
۱۰۲۹ میلیارد تومان وامیه که حسین هدایتی از بانک سرمایه گرفته و پس نداده.
همین آدم تو بیوگرافی اینستا با فخر میگه لطفا برای کمک های مالی توی سایت پیام بزارین.
این کمکا پول همین مردمه بی شرف.
twitter.com/mostafa_pakdel/status/936974202070020096
reza:
از سال ۸۵ تا ۹۵، لیست بدهی های جناب هدایتی رو میبینیم. توی همین مدت ایشون چقدر به پرسپولیس کمک کردن؟
با یه مقدار خیلی کم از این مبالغ برا خودش محبوبیت خرید
twitter.com/rrezaest/status/936940753737207808
embryo:
حالا ما 10 تا قسط وام دانشجوئیمون عقب افتاده بود، اسممونو گذاشته بودن تو لیست بدهکاران بانک مرکزی که دیگه بهمون وام ندن. 😐
twitter.com/AlanRostin/status/936968907386179584
aghazadeh81:
افشای نام بدهکاران بزرگ بانک سرمایه توسط نماینده مجلس عالیست حتی احمد توکلی تهدیدش را علنی کند و اسامی بدهکاران بانک ثامن را اعلام کند عالی تر می شود و حتما معرکه است اسامی همه بدهکاران اعلام بشود . اما آنها پر نفوذتر ازآنند که آب از آب تکان بخورد.نمونه اش هدایتی عابر بانک فوتبال
twitter.com/aghazadeh811/status/936957875158528001
نوه ی امیرخان:
یعنی #حسین_هدایتی با 1029 میلیارد تومنی که گرفته چی کار کرده؟آخه دزدم باشی اندازه خودت و بچه هات و نوه هات میدزدی اینا چه حرصی به پول دارن!
twitter.com/armaghanedoost/status/936975154000945153
📡 @VahidOnline
مهدى نادمى:
در لیست منتشر شده از بدهکاران بانک سرمایه، مهم تر از اسمها، بیشتر ذهنم درگیر تاریخ ها هستش، مخصوصا تاریخ های بعد از ۹۲.
غصه دار فرایندهای فاسد نهادینه شده ای هستم که با رفتن و آمدن دولت ها تغییری نمیکنند
twitter.com/MehdiNademi/status/936939638668840960
Mostafa Heidari:
معنی این لیست بدهکاران اینکه افراد بدهکار با رشوه و نفوذ در سیستم اداری و سندسازی و ایجاد شرکتهای کاغذی تونستن با توجه به بدهی مجدد وام های کلان بگیرن سوال اینه ایامدیران متخلف بازداشت وباخواست شدن چرااین مدیران به افراد بدهکار و بدحساب مجددوام پرداخت کردن بدون دریافت وثیقه مناسب
twitter.com/Mostafaheidari_/status/936957344659005440
Don Quixote:
افشای این اسناد، همراه با گزارشهای تحقیقی دقیق کار رسانههاست. در مملکتی با رسانههای شکستخورده، نمایندهی مجلس شخصا سند میذاره توی توییتر.
twitter.com/Don_Quixotee/status/936932131820929024
Gisoo Faghfouri:
هنوز خبرگزاری های رسمی ایران درباره این لیست خبری منتشر نکرده اند
هنوز درباره اسامی برخی #بدهکاران #بانک_سرمایه واکنش رسمی نشان داده نشده است
twitter.com/Gfaghfouri/status/936948433738399744
مهرداد نایب:
مایه تاسف هست که کارآفرینهای نمونه کشور توی لیست صادقی جزوه بدهکاران کلان بانک سرمایه هستند. محسن صرافان #برنج_محسن مرتضی سلطانی #زرماکارون اقدامیان #ویستابست
twitter.com/Mehrdxd/status/936949452782407682
Fereshteh Behrouzi:
شش هزارو 900 میلیارد تومان بدهی #بدهکاران به #بانک_سرمایه اعلام شده. کفایت سرمایه این بانک رو نگاه کنی میبینی با نصف این عدد تاسیس شده. اقتصادی که هیچ صادراتی نداره و بانک محوره، وقتی اینجور نظام ورشکسته بانکی داشته باشه، دیگه فاتحه اش خونده اس. ربطی به تحریم و پسا تحریم هم نداره
twitter.com/F_bnick/status/936955404864643072
حسین حمدیه:
کارمند است، بعد از ساعت کاری هم باید چند ساعت جایی دیگر کار کند تا بلکه از عهده هزینههای زندگی برآید. هزار درد دارد، از پا و کمر و دست تا قسط و سفته و اجاره خانه
برای او تفاوتی نمیکند که لیست بدهکاران صادقی از چه جناح سیاسی هستند. او فساد سیستماتیک را میفهمد! فساد یک ساختار را
twitter.com/hosseinhamdieh/status/936950267404267521
مُختٰار🌴:
الان چهار ماهه که تمام مراحل قانونی یک وام چند میلیون تومانی رو طی کردم گرفتن کلی مجوز و مدرک و پروانه کسب با هزینهای نزدیک به هشت میلیون! هنوز یه تف هم ننداختن کف دستم. لعنت به این همه تبعیض و فساد و اختلاف که باید ببینیم و دندان خشم به قلب ورم کرده فرو کنیم.
twitter.com/mokhtaro13/status/936953193824772096
Mehdi Mansouri:
شنیدید میگن تورم عید اغنیاس؟ سال ٨٧طرف وام گرفته به دلار میشده چهارصدمیلیون دلار پس نداده الان با دیرکرد و اصل و فرعش شده صد میلیون دلار بهمین راحتی:))
twitter.com/MehdiMa58345473/status/936968916441665536
Ehsan Mehrabi:
محمود صادقی به وعدش عمل کرد.الان نوبت احمد توکلیه که به وعدش برای انتشار فهرست بدهکاران موسسه اعتباری تامن الحجج که به گفته او از فرزندان علما و شخصیتهای سیاسی و قضات باسابقه هستند عمل کنه
twitter.com/EhsanMehrabi7/status/936936709157277696
Mostafa pakdel:
۱۰۲۹ میلیارد تومان وامیه که حسین هدایتی از بانک سرمایه گرفته و پس نداده.
همین آدم تو بیوگرافی اینستا با فخر میگه لطفا برای کمک های مالی توی سایت پیام بزارین.
این کمکا پول همین مردمه بی شرف.
twitter.com/mostafa_pakdel/status/936974202070020096
reza:
از سال ۸۵ تا ۹۵، لیست بدهی های جناب هدایتی رو میبینیم. توی همین مدت ایشون چقدر به پرسپولیس کمک کردن؟
با یه مقدار خیلی کم از این مبالغ برا خودش محبوبیت خرید
twitter.com/rrezaest/status/936940753737207808
embryo:
حالا ما 10 تا قسط وام دانشجوئیمون عقب افتاده بود، اسممونو گذاشته بودن تو لیست بدهکاران بانک مرکزی که دیگه بهمون وام ندن. 😐
twitter.com/AlanRostin/status/936968907386179584
aghazadeh81:
افشای نام بدهکاران بزرگ بانک سرمایه توسط نماینده مجلس عالیست حتی احمد توکلی تهدیدش را علنی کند و اسامی بدهکاران بانک ثامن را اعلام کند عالی تر می شود و حتما معرکه است اسامی همه بدهکاران اعلام بشود . اما آنها پر نفوذتر ازآنند که آب از آب تکان بخورد.نمونه اش هدایتی عابر بانک فوتبال
twitter.com/aghazadeh811/status/936957875158528001
نوه ی امیرخان:
یعنی #حسین_هدایتی با 1029 میلیارد تومنی که گرفته چی کار کرده؟آخه دزدم باشی اندازه خودت و بچه هات و نوه هات میدزدی اینا چه حرصی به پول دارن!
twitter.com/armaghanedoost/status/936975154000945153
📡 @VahidOnline
RadioSardar: t.co/RodgJAHrQW
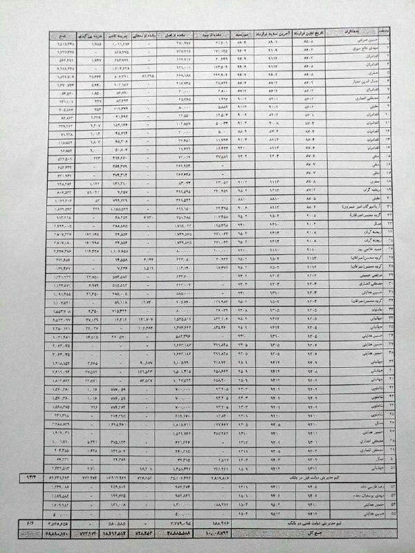
محمود صادقی:
باتوجه به تخلف مسئولان #بانک_سرمایه طی سالهای ۸۵ تا ۹۵ در اعطای تسهیلات کلان بدون وثیقه و استنکاف #بدهکاران از پرداخت بدهی و تعلل بانک در وصول مطالبات و مماشات و اطاله دادرسی در مراجع قضایی، برای #شفاف_سازی و اطلاع عموم، مشخصات ۲۰ بدهکار عمده بانک سرمایه منتشر میشود.
twitter.com/mah_sadeghi/status/936930546017619968
Alooche:
به به. شما لیستو ببین فقط. یعنی نظام بانکی از این تمیزتر تو دنیا نمونه نداره اصلا. احسنت.
twitter.com/alooche/status/936934043232407552
Hosein Vi:
توضیح برای گیج و گولهایی مثل من:
اعداد درج شده در ستونها به «میلیون ریال» میباشد!
twitter.com/HoseinVahdani/status/936934296153133058
مهدی امیرپور:
628 میلیارد تومانی که #حسین_هدایتی از #بانک_سرمایه وام گرفته و برنگردانده، معادل بودجه سی سال باشگاه پرسپولیس است. الان به راحتی میتوان فهمید این حجم بذل و بخشش و پولِ تو جیبی و زیرمیزی برای بازیکنان #پرسپولیس، از کجا تامین میشود؟
twitter.com/AmirpoorMehdi/status/936941867027091456
پژمان راهبر:
بنابر فهرست منتشره بدهکاران بانک سرمایه از سوی محود صادقی نماینده مجلس ، بدهی دوست فوتبالدوستمان در مجموع 10.370.021(هزار و سی هفت میلیارد) تومان است .
twitter.com/PejmanRahbar/status/936943299079884800
گلعذاری ز خراسان:
خب اینم از عابر بانک پرسپولیسی ها
سردار سپاه حاج حسین هدایتی از بانک سرمایه از یازده سال پیش تا امروز ۱۰۲۹۰۰۰۰۰۰۰۰۰ تومان وام گرفتن و پس ندادن
اگه نتونستی صفر ها رو بخونی خودم میگم
هزار و بیست و نه میلیارد تومان ناقابل
twitter.com/MasoudGolozar/status/936975820668723200
یازدهِ یازده:
نام های آشنایی مثل محسن صرافان(برنج محسن)، مرتضی سلطانی(زر ماکارون) و اقدامیان(ویستا بست) تو لیست به چشم میخوره. ماشالله به کارآفرینان نمونه کشور! #محمود_صادقی #بانک_سرمایه
twitter.com/zaghnabout/status/936943424854519817
p0oyaa:
این حسین هدایتیم هرجا دستش رسیده یه چیزی دزدیده. ولی خب چون واسه زلزله زده ها کانکس میخره و رفیق سلبریتیاس و پول طارمی رو میده عیبی نداره.
twitter.com/p0oyaa/status/936934889659740160
Amirparviz Pouyan:
حسین هدایتی( آقای استیل آذین) حول و حوش 1000 میلیارد از بانک سرمایه ( بانکی با سرمایه فرهنگیان؛موجوداتی با حقوق 2 میلیون) بالا کشیده. دستگاه امام حسین نیست لامصب کت جادوییه.
twitter.com/amirparvizp/status/936934930642124800
بوتیمار:
فقط "حاج" #حسین_هدایتی از ٨۵ تا ٩۵، در دولتهای اول و دوم احمدی نژاد و دولت اول حسن روحانی، به تنهایی ١٠٢٩ میلیارد تومان از #بانک_سرمایه وام گرفته و پس نداده. تکرار میکنم ١٠٢٩ میلیارد تومان!
twitter.com/bitternism/status/936958719946100738
Mostafa Heidari:
نکته جالب بدهی [...] میلیاردی #حسین_هدایتی به بانک_سرمایه اینه که هدایتی سال قبل بخاطر بدهی 500میلیاردی به بانک پارسیان بازداشت شد و نه بخاطر بدهی بانک سرمایه!
twitter.com/Mostafaheidari_/status/936968407873880064
Masira:
#حسینهدایتی نشون داد که فرا جناحی از بانکها وام میگیره و پس نمیده
twitter.com/serkangabin/status/936932412713467904
سردارسحرشون:
حالا ما سه تومن وام گرفتیم خشکتمونو کشیدن سرمون 😐 در هفته دیرتر شد بازپرداختش
twitter.com/sahariiam/status/936934288179769344
Parham:
شما برو بانک بگو ۱۰ تومن وام میخوام اگر بتونی بعد از چند ماه بگیری تا دو برابر پس بدی، کافیه یک قسط را ندی سریعا حساب ضامن را برای چند صد هزار تومن مسدود میکنند، بعد یک عده به سیستم بانکی چند ده هزار میلیارد تومن بدهکارند
twitter.com/21aban/status/936935967704969218
کرگدن دل نازک:
من چهارتا قسط وام دانشجوییم رو ندادم,صد تا پیام اومد آخرشم اسمم رفت تو لیست بدهکاران بانک مرکزی,با جریمه هم گرفتن همشو,اونوقت اینا میلیاردی بردن ندادن و نمیدن بازم میگیرن
twitter.com/r_e_z_a_a/status/936935463650234371
Behrouz Khezry:
مردم برای گرفتن وام چند میلیونی با بیش از ۲۰درصد سود باید چندین ضامن ببرن. اینا میلیاردی گرفتن بدون هیچ ضمانتی و پس هم نمیدن. #بانکداری_اسلامی موج میزند.
twitter.com/bkhezry/status/936938887364120576
Majid Avaj:
و افرادی هستند که برای یک میلیون تومان وام التماس میکنند و افرادی هستند که به دلیل دو قسط معوقه توسط بانکها به اجرای چک و ضامن میرسند. #عدالت
twitter.com/MajidAvaj/status/936970691756388352
📡 @VahidOnline
محمود صادقی:
باتوجه به تخلف مسئولان #بانک_سرمایه طی سالهای ۸۵ تا ۹۵ در اعطای تسهیلات کلان بدون وثیقه و استنکاف #بدهکاران از پرداخت بدهی و تعلل بانک در وصول مطالبات و مماشات و اطاله دادرسی در مراجع قضایی، برای #شفاف_سازی و اطلاع عموم، مشخصات ۲۰ بدهکار عمده بانک سرمایه منتشر میشود.
twitter.com/mah_sadeghi/status/936930546017619968
Alooche:
به به. شما لیستو ببین فقط. یعنی نظام بانکی از این تمیزتر تو دنیا نمونه نداره اصلا. احسنت.
twitter.com/alooche/status/936934043232407552
Hosein Vi:
توضیح برای گیج و گولهایی مثل من:
اعداد درج شده در ستونها به «میلیون ریال» میباشد!
twitter.com/HoseinVahdani/status/936934296153133058
مهدی امیرپور:
628 میلیارد تومانی که #حسین_هدایتی از #بانک_سرمایه وام گرفته و برنگردانده، معادل بودجه سی سال باشگاه پرسپولیس است. الان به راحتی میتوان فهمید این حجم بذل و بخشش و پولِ تو جیبی و زیرمیزی برای بازیکنان #پرسپولیس، از کجا تامین میشود؟
twitter.com/AmirpoorMehdi/status/936941867027091456
پژمان راهبر:
بنابر فهرست منتشره بدهکاران بانک سرمایه از سوی محود صادقی نماینده مجلس ، بدهی دوست فوتبالدوستمان در مجموع 10.370.021(هزار و سی هفت میلیارد) تومان است .
twitter.com/PejmanRahbar/status/936943299079884800
گلعذاری ز خراسان:
خب اینم از عابر بانک پرسپولیسی ها
سردار سپاه حاج حسین هدایتی از بانک سرمایه از یازده سال پیش تا امروز ۱۰۲۹۰۰۰۰۰۰۰۰۰ تومان وام گرفتن و پس ندادن
اگه نتونستی صفر ها رو بخونی خودم میگم
هزار و بیست و نه میلیارد تومان ناقابل
twitter.com/MasoudGolozar/status/936975820668723200
یازدهِ یازده:
نام های آشنایی مثل محسن صرافان(برنج محسن)، مرتضی سلطانی(زر ماکارون) و اقدامیان(ویستا بست) تو لیست به چشم میخوره. ماشالله به کارآفرینان نمونه کشور! #محمود_صادقی #بانک_سرمایه
twitter.com/zaghnabout/status/936943424854519817
p0oyaa:
این حسین هدایتیم هرجا دستش رسیده یه چیزی دزدیده. ولی خب چون واسه زلزله زده ها کانکس میخره و رفیق سلبریتیاس و پول طارمی رو میده عیبی نداره.
twitter.com/p0oyaa/status/936934889659740160
Amirparviz Pouyan:
حسین هدایتی( آقای استیل آذین) حول و حوش 1000 میلیارد از بانک سرمایه ( بانکی با سرمایه فرهنگیان؛موجوداتی با حقوق 2 میلیون) بالا کشیده. دستگاه امام حسین نیست لامصب کت جادوییه.
twitter.com/amirparvizp/status/936934930642124800
بوتیمار:
فقط "حاج" #حسین_هدایتی از ٨۵ تا ٩۵، در دولتهای اول و دوم احمدی نژاد و دولت اول حسن روحانی، به تنهایی ١٠٢٩ میلیارد تومان از #بانک_سرمایه وام گرفته و پس نداده. تکرار میکنم ١٠٢٩ میلیارد تومان!
twitter.com/bitternism/status/936958719946100738
Mostafa Heidari:
نکته جالب بدهی [...] میلیاردی #حسین_هدایتی به بانک_سرمایه اینه که هدایتی سال قبل بخاطر بدهی 500میلیاردی به بانک پارسیان بازداشت شد و نه بخاطر بدهی بانک سرمایه!
twitter.com/Mostafaheidari_/status/936968407873880064
Masira:
#حسینهدایتی نشون داد که فرا جناحی از بانکها وام میگیره و پس نمیده
twitter.com/serkangabin/status/936932412713467904
سردارسحرشون:
حالا ما سه تومن وام گرفتیم خشکتمونو کشیدن سرمون 😐 در هفته دیرتر شد بازپرداختش
twitter.com/sahariiam/status/936934288179769344
Parham:
شما برو بانک بگو ۱۰ تومن وام میخوام اگر بتونی بعد از چند ماه بگیری تا دو برابر پس بدی، کافیه یک قسط را ندی سریعا حساب ضامن را برای چند صد هزار تومن مسدود میکنند، بعد یک عده به سیستم بانکی چند ده هزار میلیارد تومن بدهکارند
twitter.com/21aban/status/936935967704969218
کرگدن دل نازک:
من چهارتا قسط وام دانشجوییم رو ندادم,صد تا پیام اومد آخرشم اسمم رفت تو لیست بدهکاران بانک مرکزی,با جریمه هم گرفتن همشو,اونوقت اینا میلیاردی بردن ندادن و نمیدن بازم میگیرن
twitter.com/r_e_z_a_a/status/936935463650234371
Behrouz Khezry:
مردم برای گرفتن وام چند میلیونی با بیش از ۲۰درصد سود باید چندین ضامن ببرن. اینا میلیاردی گرفتن بدون هیچ ضمانتی و پس هم نمیدن. #بانکداری_اسلامی موج میزند.
twitter.com/bkhezry/status/936938887364120576
Majid Avaj:
و افرادی هستند که برای یک میلیون تومان وام التماس میکنند و افرادی هستند که به دلیل دو قسط معوقه توسط بانکها به اجرای چک و ضامن میرسند. #عدالت
twitter.com/MajidAvaj/status/936970691756388352
📡 @VahidOnline